神经科学与神经生物学德赢娱乐国际

全文

短讯
上一页损伤和慢性疼痛是帕金森病发病的相联

伊泽尔特金1Angeliki VGontzas.2Mechelle中号刘易斯1,3赛拉·科塔里3.兰港6.岳麓8.肯特瓦拉纳酒店1Xuemei Huang.1,3,4,5,7 *

1药理学,医学宾夕法尼亚州立大学,贺喜,PA,USA系
2美国宾夕法尼亚州好时宾夕法尼亚州立大学医学院医学系
3.神经学,医学宾夕法尼亚州立大学,贺喜,PA,USA系
4.放射学,医学宾夕法尼亚州立大学,贺喜,PA,USA系
5.美国宾夕法尼亚州好时宾夕法尼亚州立大学医学院神经外科系
6.公共卫生科宾夕法尼亚州立大学医学院,Hershey,PA,USA
7.运动学,宾夕法尼亚州立大学,大学公园,PA,USA系
8.美国宾夕法尼亚州大学公园宾夕法尼亚州立大学统计系

*通讯作者:黄雪梅,医学博士,宾夕法尼亚州立大学好时医学中心神经病学系,美国宾夕法尼亚州好时大学路H037 500号,邮编17033-0850,电话:717-531-0003-287082;电邮:Xuemei@psu.edu

抽象的
背景

帕金森病(PD)运动症状常常是不对称的,影响发病侧的因素都不清楚。

客观的

探索外周损伤和相关的慢性肢体疼痛可能影响发病的一侧。

方法

我们对一家三级运动障碍诊所的128名帕金森病患者进行了问卷调查。确定了用手习惯、肢体损伤的日期和类型、相关疼痛的持续时间以及发病日期和侧面。

结果

62名受试者在PD症状出现之前报告了肢体损伤,其中30名有慢性疼痛,32名无慢性疼痛(即。,≥ 2个月)。损伤与帕金森病发作侧总体无相关性(p=0.334)。然而,在与肢体损伤相关的慢性疼痛受试者中,损伤侧与PD症状发作侧相关(p=0.030)。

结论

伴有慢性疼痛的肢体损伤可能与PD症状的发生有关。未来的研究可能会阐明这一观察结果的性质。

关键词

帕金森氏病;外周肢体损伤;发病的一面;惯用手

介绍

帕金森病(PD)的特征是黑质神经元缺失,导致进入基底节(BG)的多巴胺能输入减少[1]。PD运动症状如运动迟缓、僵硬、静止性震颤和步态困难通常呈不对称[2]然而,与PD发病相关或影响PD发病的因素尚不清楚。

螺旋性已被研究作为可能的原因为PD运动症状发作不对称,并且似乎有优势手和发病的PD侧[3]之间的总链路。该协会,但仅占针对受试者60%发病PD侧。这表明,其他因素可能会导致PD发病一侧的决心。

外周神经损伤有关的几个运动障碍如张力障碍,和有时与偏侧[4,5]相关联。已经提出,从周围神经损伤的感觉输入可调节BG相关的脑的电路,特别是如果伤势强烈和持久的[5]。目前的研究旨在探讨是否肢体损伤相关的疼痛可能与发病的PD侧面有关。

方法

我们对116名对照组和128名帕金森病患者进行了回顾性研究,他们在2012年5月1日至12月31日期间连续到一家运动障碍诊所就诊。表1提供了受试者的详细人口统计数据。对照组是受试者的同伴。帕金森病诊断得到确认[6]运动障碍专家(XH)世卫组织还通过一致病史和体检确定了症状发作的侧面。疾病发作的初始日期通过个人受试者病史以及年龄、性别和惯用手获得。该研究由宾夕法尼亚州好时机构审查委员会批准,并根据《宣言》的原则进行赫尔辛基共和国。

通过简短的问卷(补充表)获得过去的伤害历史。调查问卷由六个关于之前的肢体伤害严重的问题,足以要求医疗注意力。面试是由调查员(IT)对PD发作的一面进行的调查员进行的。任意,持续≥2个月的过去伤害和疼痛被定义为慢性。由于一些受试者可能已经持续了多种肢体伤害,因此我们开发了一种评估过去肢体伤害的主导方面的系统。首先,我们产生了评分系统,以衡量与每次伤害相关的疼痛的强度和持续时间(补充表2)。然后,通过将强度分数与持续时间分数乘以,我们获得了每次伤害的综合评分。主导伤害侧被定义为综合分数最高的一侧。

表1:帕金森科目的描述*

*这些数字不反映从分析中排除的主题。缩写:mo =月;PD =帕金森病;r / l / a =右/左/左/二手; r / l / sym / na =右/左/对称/不适用。

我们根据T-TEST,CHI-Squirs试验和Fisher的确切测试比较了组的人口统计和临床特征。通过Fisher的确切测试评估PD发作侧面伤害和递增的影响。Cochran-Mantel-Haenszel试验用于评估PD发作损伤与侧面之间的关联。双面P值<0.05被认为是统计学上显着的。

结果

在128名帕金森病受试者中,126名帕金森病受试者能够回答肢体损伤问卷。其中,62名(49%)受试者经历了损伤,而116名对照组中有55名(47%;p=0.780).在128名PD受试者中,114名PD受试者已知损伤史和明显的不对称起病侧,并被纳入损伤对PD起病侧的影响分析。

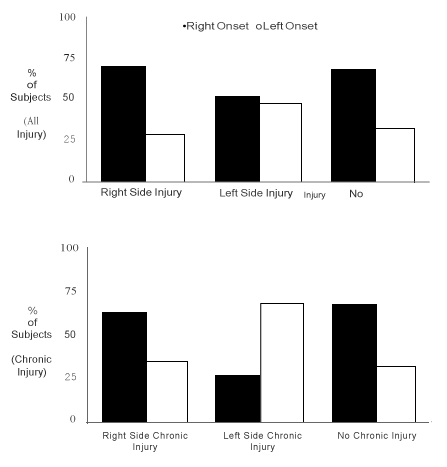
急性和慢性损伤受试者的损伤侧对起病侧没有显著影响(p=0.334,图1,顶部)。然而,损伤侧伴慢性疼痛对帕金森病发作侧有显著影响,左右侧损伤和发作的符合率分别为64%和73%(p=0.030,图1,底部)。调整利手因素后,趋势持续(p=0.067)。

讨论

PD不对称呈现的因素令人困惑。本研究首次探讨了肢体损伤与发病PD侧的潜在关系。结果不支持肢体损伤与发作的PD侧相关的观点;然而,与损伤相关的慢性疼痛可以与PD发作的侧面相关联。后一种观察是新颖和有趣的,尽管联想的确切性质是未知的。

过去,动物实验表明,周围肢体损伤可以调节大脑功能[4,7]。研究表明,遭受热损伤的动物患肢运动减少,苍白球脑啡肽含量降低,尤其是在持续时间延长后[4]。此外,周围损伤也与肌张力障碍有关[4,5,8]。因此,周围肢体损伤可能会调节BG并影响PD症状发作的一侧。另一方面,众所周知,局部放电会影响许多非电机系统。慢性疼痛已被认为是帕金森病的一部分,因为许多帕金森病患者报告了不同程度的疼痛[9],而左旋多巴已被证明与帕金森病患者的痛阈增加有关[10]。因此,可以想象,肢体损伤引起的较高慢性疼痛可能代表PD前状态下较低的痛阈。

图1:有外周损伤史和帕金森病发作史的受试者的分布。列顶部的数字表示每组受试者的数量。上面板描述了所有帕金森病受试者,分别为右侧损伤、左侧损伤和无损伤史。下面板显示了受试者根据eir慢性损伤侧以及是否因损伤而遭受慢性疼痛。

这项研究是由相对较小的规模,追溯,和受伤的任意分类的限制。此外,我们还没有考虑与慢性肢体疼痛有关的其他条件。然而,这是否有与PD发病过去肢体损伤和侧相关的慢性疼痛之间的联系的第一次探索。结果保证今后的研究,并可能具有临床和基础重要的科学意义。

致谢

我们感谢Brittany Jones女士协助主题调查和博士。Millind J. Kothari和Richard B. Mailman在编制这份手稿期间为他们有价值的投入。这项工作是由国家健康机构(NS060722,NS082151和ES019672至XH)的支持,宾夕法尼亚州立大学CTSA(UL-1RR033184至XH),以及宾夕法尼亚州卫生烟草部结算基金(C06 RR016499至XH)。

利益冲突的披露

没有一位作者需要透露任何信息。

工具书类
  1. 舒尔曼JM,德雅格PL,Feany MB(2011年),帕金森氏病:遗传与发病机制。Annu启病理学6:193-222。[参考。]
  2. Riederer P,Sian-Hulsmann J(2012)神经元横向化在帕金森病中的意义。J神经传输119:953-962。[参考。]
  3. 范德霍伦A,汉堡H,Leenders KL,德容BM(2012)惯用手与相关因素占主导地位的帕金森侧的系统评价和荟萃分析。MOV疾病27:206-210。[参考。]
  4. 德塞巴洛斯ML,贝克男,玫瑰S,詹纳P,马斯登CD(1986)DO脑啡肽基底节调解生理马达停止机构?MOV障碍1:223-233。[参考。]
  5. Jankovic J,Tintner R(2001)Dystonia和Parkinsonism。Parkinsonism Relat Sisord 8:109-121。[参考。]
  6. Calne DB,Snow BJ,Lee C(1992)诊断帕金森病的标准。Ann Neurol 32:S125-127。[参考。]
  7. 伯克RE,富兰克林SO,Inturrisi CE(1994)急性和纹状体以下发育缺氧缺血性损伤前脑啡肽原基因表达的持续抑制。Ĵ神经化学杂志62:1878至1886年。[参考。]
  8. 卡多佐楼扬科维奇Ĵ,格罗斯曼RG,汉密尔顿WJ(1995),用于张力障碍和立体定向hemiballismus丘脑后结果。神经外科36:501-507。[参考。]
  9. Rana AQ,Ahmed US,Chaudry ZM,Vasan S(2015)帕金森病:非运动症状的回顾。专家15:549-562。[参考。]
  10. 公园Ĵ,林CS,徐H,公园CA卓M等人。(2015)感知的疼痛在帕金森病由1-甲基-4-苯基-1,2,3,6-四氢吡啶(MPTP)诱导的急性模型小鼠。摩尔疼痛17:11-28。[参考。]

在这里下载临时PDF

文章信息

aritcle类型:短讯

引用:特勤我,Vgontzas A,刘易斯MM,科塔里S,港L,等人。(2015年)前损伤和慢性疼痛是帕金森病发病的相联。Ĵ神经病学神经生物学1(3):DOI HTTP://dx.doi。组织/ 10.16966 / 2379-7150.109

版权:©2015 Tekin I等。这是在创意公约归因许可的条款下分发的开放式文章,其允许在任何媒体中不受限制地使用,分发和再现,只要原始作者和来源被记入。

出版历史记录:

  • 收到的日期:2015年7月3日

  • 接受日期:2015年7月20日

  • 出版日期:2015年7月25日