肾脏病和肾衰竭- Sci Forschen德赢娱乐国际

全文

研究文章
老年糖尿病血液透析患者疼痛耐受性/睡眠障碍与生活质量的关系

毛罗·佐丹奴1 *iziana Ciarambino1玛丽亚·卡特琳娜·佩斯2玛丽亚比阿特丽斯Passavanti2安德里亚Viggiano2Giuseppe Paolisso.1奥里里奥卡特琳娜酒店2路易吉Adinolf埃利奥1

1意大利那不勒斯第二大学医学、外科、神经学、代谢和老年病学学系
2意大利那不勒斯第二大学麻醉、外科和急诊科学系

*通讯作者:Mauro Giordano,医学博士,副教授,意大利那不勒斯第二大学医学,外科,神经,代谢和老年病学科学系,80138,p.zza L. Miraglia,那不勒斯,意大利,E-mail: mauro.giordano@unina2.it


摘要

背景:患有睡眠障碍的患者报告的自我感觉生活质量比没有睡眠障碍的患者差。此外,最近的研究表明,睡眠质量差是终末期肾病(ESRD)患者近期死亡率的一个预测因素。

本研究旨在评估老年糖尿病血液透析患者睡眠障碍、生活质量和慢性疼痛之间的可能关系。

方法:在本研究中,参加以下群体:36例非血液透析患者(非高清)和38例血液透析患者(组高清)。在所有患者中施用睡眠障碍和健康相关质量(HRQOL)问卷的匹兹堡睡眠质量指数(PSQ-I),它们客观地评估了疼痛的痛苦性。

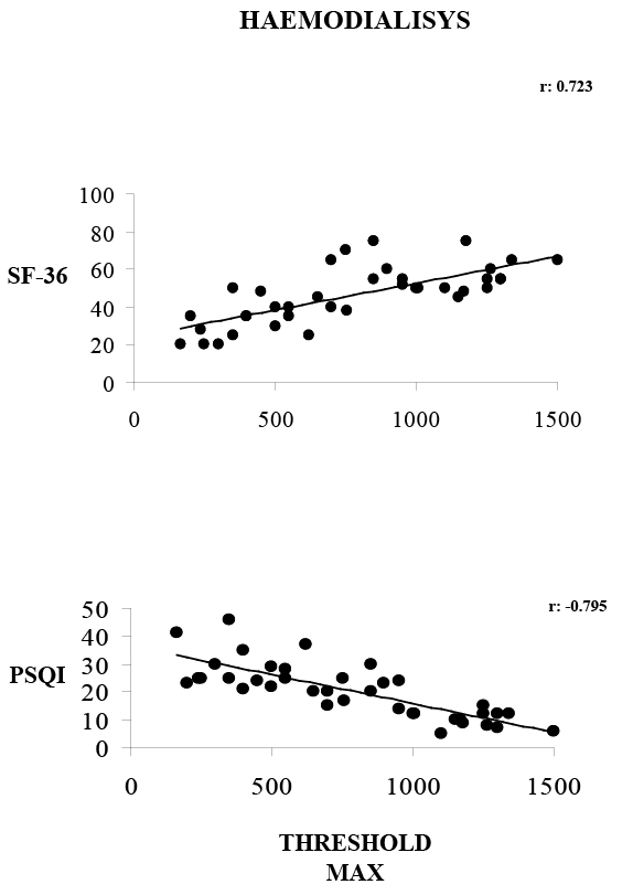
结果:HD组SF-36与最大疼痛水平呈正相关(r: 0.723;p < 0.05)。同样,PSQI与最大疼痛水平之间有统计学显著的负相关(r: -0.795;p < 0.05)。

结论:这些数据表明,老年糖尿病ESRD患者的疼痛耐受性与睡眠障碍和健康相关生活质量之间存在密切关系。因此,对慢性疼痛患者进行适当的治疗,可显著改善患者的生活质量和睡眠障碍。

关键词

老年糖尿病患者;睡眠障碍;生活质量;血糖仪

介绍

睡眠障碍存在于65%的透析患者[1]中存在。这些包括延迟睡眠发作,频繁觉醒,躁动和白天嗜睡[2]。睡眠障碍的患者报告更糟糕的自我感知健康相关的生活质量比没有紊乱的人[1]。此外,它最近表明睡眠质量差是临床肾病(ESRD)患者的近期死亡率的强烈预测因素[3]。

慢性疼痛是慢性肾脏疾病(CKD)患者常见的健康挑战,似乎与睡眠质量差有关[4,5]。疼痛阈值受损和失眠都是CKD患者的常见症状[6,7]。虽然有几项关于透析人群疼痛感知的研究,但其与生活质量和睡眠质量的关系尚不清楚。此外,使用Algometer对CKD患者的客观疼痛评估以前没有进行过评估。

因此,本研究旨在在非血液透析和血液透析患者中​​评估阈值客观疼痛与睡眠障碍和健康状质量之间的可能关系。

方法
患者群体

在研究方案中,共纳入74例老年2型糖尿病CKD (G3b-4、G5期)[8]受试者。所有患者均通过病史、体格检查、常规实验室检查及老年综合评估进行临床评估。在过去的20年里被诊断出患有糖尿病。所有患者的入选标准包括:年龄>65岁;McGill问卷评估无慢性疼痛证据(McGill评分=2),无抑郁症状证据(GDS-15<5),无营养不良证据(白蛋白水平>3.5 g/dL);仅在六项基本日常生活活动(ADL)中的一项维持或丧失功能;迷你精神状态检查(MMSE) >24评估,无明显认知障碍的证据;没有证据表明患有严重的可能高度影响情绪状态的疾病(例如:癌症、有症状的脑血管疾病伴残余缺陷、精神分裂症和其他精神病);疾病严重程度,由总体疾病严重程度(CIRS) <3(中度)的累积疾病评分量表评估。由于血液透析患者的共病指数(CIRS-CI)升高对抑郁症状有影响,我们将他们与CIRS-CI水平相似的老年患者(如住院组)进行了比较。 The exclusion criteria are: oncology-related chronic pain disorder or the use of opioid analgesic, major anti-depressive or anxiolytic agents. The purpose of the study was explained to all subjects and their voluntary written consent was obtained before their participation. The study protocol was reviewed and approved by Ethical Committee of our Institution (121/2014).

试验协议

在本研究中,纳入了以下组:36名非血液透析患者(非HD组),平均年龄为75±3岁,体重指数(BMI)为26.5±3 Kg/m2其中,收缩压(SBP)为125±09 mmHg,舒张压(DBP)为80±4 mmHg, HBA1c为6.8±0.4%,GDS-15为3±1,HD组38例,平均年龄76±2岁,BMI为26.1±2 kg/m2,收缩压122±08 mmHg,舒张压81±3 mmHg,糖化血红蛋白6.7±0.5%,GDS-15 4±2。根据麦吉尔问卷评估,在基线时,所有患者均无慢性疼痛。临床特征见表1。

认知功能通过微型精神状态检查(MMSE)进行评估,MMSE是一种广泛用于测量整体认知状态的筛查工具[9]。它由30个项目组成,分为两个部分。第一部分需要声音回应,包括方向、记忆和注意力。第二部分着重于命名、遵循口头和书面命令、写句子和复制复杂多边形的能力。最高总分为30分,低于24分表示存在明显的认知障碍[9],尽管已经采用了其他评分。评估抑郁症状的筛选测试包括老年抑郁症量表15项(GDS-15)[10]。GDS专门用于评估老年患者的抑郁症状[11]。GDS-15是一个由15个问题[12]组成的简化版本,已发现这些问题与最初的30项工具[13]高度相关。GDS-15是老年人[10,14]和CKD患者[15]抑郁症的可靠且有效的测量方法。反应编码为1=有症状;vs.0=症状不存在。GDS-15评分>5表示抑郁症状[10]。为了评估身体疾病,我们使用了累积疾病评级量表(CIRS)[16]。该指标评估13个主要器官组(心脏、高血压、血管、呼吸、眼耳鼻喉、喉、上消化道、下消化道、肝、肾、输尿管、尿道、前列腺生殖器、肌肉骨骼表皮、神经系统、内分泌代谢)损伤程度评级得出的累积得分精神病和行为类的损害[17]。特别是,CIRS对损害的临床评级评估如下:无损害=1;轻度损害=2;中度损害=3;严重损害=4,极严重损害=5。评估了两项CIRS汇总指标,每个指标均不包括精神/行为项目,以避免与心理健康和认知功能混淆。首先,总体疾病严重程度由13个CIRS项目的平均值表示。其次,共病指数(CIRS-CI)反映了严重疾病的多样性,是记录了中度、重度或极重度疾病损害程度的13个类别的总数。功能状态通过日常生活活动(ADL)进行评估[18]。它由六项自我护理评估项目组成,分别衡量六项日常生活能力的功能状态。依赖被定义为无法管理以下活动:洗澡、如厕、转移、节制、穿衣和进食。受试者依赖的每项活动都分配一分,范围从0分(在所有活动中独立)到6分(完全依赖)。

匹兹堡睡眠质量指数(PSQ-I)[19]屏幕在1个月内休眠干扰。有19个问题,包括七个组成分数,包括“主观睡眠质量,睡眠延迟,睡眠持续时间,习惯性睡眠效率和睡眠障碍,使用睡眠用药和白天功能障碍”。七个组成分数总结为产生一个全球分数[19]。全球分数> 5具有89.6%的灵敏度和86.5%的特异性来确定睡眠中的干扰[19]。PSQI先前已用于CKD患者[20]。

要求参与者填写HRQoL问卷(SF-36v2健康调查)[21]。SF-36已广泛用于肾病患者,并在该患者群体中具有良好的心理测量特征,用于评估HRQoL[22]。SF-36是一份经过充分验证的36项问卷,涵盖了与身体、心理和社会功能相关的问题,在HRQoL的八个子量表中产生了从0(最差)到100(最好)的分数:身体功能(PF)、角色-身体(RP)、身体疼痛(BP)、一般健康(GH)、活力(VT)、社会功能(SF),角色情绪(RE)和心理健康(MH)。它由两个成分汇总分数组成,即物理成分汇总(PCS)和心理成分汇总(MCS)。分数越高,HRQoL越好[23]。McGill问卷旨在提供临床疼痛的定量测量。它主要由三大类词描述符组成:感官的、情感的和评价的——患者使用这些词来描述主观疼痛体验。它还包含一个强度等级和其他项目,以确定疼痛体验的属性。此外,调查问卷还包括一张记录必要医疗信息(如诊断和药物摄入)的顶页、指示疼痛空间分布的身体线条图、描述疼痛时间特性的词语以及总体当前疼痛强度(PPI)。PPI记录为一个从1到5的数字,其中每个数字与以下单词关联:1,轻度;2、不适;3、痛苦;4、恐怖;5、折磨人。该问卷最初需要15-20分钟,随着经验的增加;在5-10分钟内完成[24]。痛阈用algometer评估[25]。该仪器由一个0.8 mm的圆针尖针组成,垂直固定在力传感器上(FSG,霍尼韦尔,哥伦布,俄亥俄州,美国)。来自传感器的信号通过仪器放大器(INA 125,美国德克萨斯州达拉斯市Burr Brown)进行放大,并通过A/D转换器(美国加利福尼亚州森尼维尔市Maxim,Maxim,147)进行数字化。该设备封装在一个小塑料盒(10x15x3 cm)中,并连接到个人计算机的并行端口。自定义软件,用LabView编写(美国德克萨斯州奥斯汀国家仪器公司),允许实时显示随时间施加在传感器上的力,并记录数据以供后续分析。每次使用前,使用两个已知负载(0 g和220 g)对系统进行校准.测试程序要求受试者在测试针上自动施加增加的力,直到感觉到疼痛为止(最小测试).该试验在第二、第三、第四和第五指的第三指骨尖端和背表面分别重复八次。然后重复这八次试验,但要求受试者按压针头,直到达到最大可耐受疼痛感(最大试验).对于每次试验,最大作用力(单位:克)被定义为“痛阈”并用于统计分析。因此,评估了两个疼痛阈值:一个用于最低疼痛水平,另一个用于最高疼痛水平。为了评估所述方案的总体耐受性,以及每个程序的结束,要求每个受试者在0(无不适)到10(无法忍受的疼痛)之间进行量化量表,检查结果的总体不适。所有问卷和痛阈均在分析间日进行。

统计分析

所有值均表示为平均值±标准误差。组间比较采用未配对学生t检验。采用方差分析评估样本的均匀性。在p < 0.05的概率水平上的差异被认为是显著的。

结果

体重指数(BMI)、收缩压(SBP)、舒张压(DBP)、糖化血红蛋白(HBA1c)、血清肌酐、血尿素氮(BUN)、老年病学抑郁量表(GDS-15)、麦吉尔主观疼痛问卷和SF-36 (SF-36v2健康调查)在非血液透析(非HD)和血液透析(HD)组中均相似(p:ns),平均值见表1。

非HD组最小疼痛水平(疼痛敏感性指数)为456±23,HD组最小疼痛水平为615±27 g(p<0.05)。

表1:非血液透析(Non-HD)和血液透析(HD)组的临床特征。

体重指数(BMI)、收缩压(SBP)、舒张压(DBP)、空腹血糖(FPG)、尿素氮(BUN)、老年抑郁症量表(GDS-15)。值为平均值±SEM。

同样,非HD组的最大疼痛水平(疼痛耐受性指标)为542±24 g, HD组的最大疼痛水平为749±31 g (p<0.05)。

睡眠障碍指数(PSQI)在非HD组为5±1,HD组为23±2 (p<0.01)。

HD组SF-36与最大疼痛水平呈正相关(r: 0.723;p < 0.05)。此外,PSQI与最大疼痛水平之间存在显著负相关(r: -0.795;p < 0.05)(图1)。

讨论

在本研究中,我们观察到HD组的生活质量(SF-36评估)和最大疼痛水平(疼痛耐受性的一个指标)之间存在显著的正相关关系。这一观察结果强调了疼痛水平在这些患者生活质量中的重要作用。事实上,最近的一项研究表明,在确定ESRD[26]患者的生活质量时,患者对疼痛的感知可能比客观评估更重要。慢性疼痛是CKD患者的常见疾病,尤其是终末期肾病(ESRD)患者。在这方面,已有报道约80%的透析ESRD患者有慢性疼痛[29],35-70%的患者有中度至重度慢性疼痛[30]。有证据表明,在透析人群中,[29]和[31]症状(如疼痛)均未被识别,[31]治疗不足。虽然有几项关于慢性肾脏疾病(CKD)患者的睡眠抱怨和障碍及其与疼痛水平的关系的研究,但痛觉仪评估的疼痛的客观感知,以前没有在透析人群中进行过研究。在我们的人群中,我们没有观察到主观慢性疼痛的显著差异,正如使用麦吉尔问卷所报道的。这些数据强烈表明,主观疼痛评估可能会低估这些受试者的真实疼痛。疼痛是一种主观感受,因此很难量化和研究。 For instance,different studies have reported that pain level, as evaluated by BPI questionnaire pain and McGill Pain Questionnaire (SF MPQ), could be under-recognized in these patients [29,33]. No studies have focused on the specific problem of pain in the dialysis population, using the algometer its evaluation. The algometer is quick and easy to execute and does not require complicated training for the examiner and is virtually free of any mechanical interference from the tester [25]. In the present study, we report the pain level, evaluated by an algometer, in elderly haemodialysis patients; demonstrating that an increased pain threshold characterizes ESRD patients.

图1:阈值疼痛最大和SF-36之间的统计上显着的正相关性(R:0.723)。PSQI和阈值疼痛之间的统计学性负相关性最大值(P <0.005; R:-0.795)。

持续的疼痛可能导致睡眠障碍。睡眠主诉和睡眠障碍在透析患者中很常见。在以前的研究中,已经观察到,相当大比例的ESRD患者报告在透析结束后疼痛(44%)和睡眠不好(45%的PSQI评分为>5)[35,36]。慢性疼痛和睡眠障碍各自独立地对ESRD人群的生活质量(QoL)有深刻的不利影响。特别地,我们观察到,在HD患者中,根据PSQI评估,最大疼痛阈值(耐受性增加的指标)增加与睡眠障碍减少相关。

总之,本研究证明了算法在客观评估疼痛耐受性中的作用,主观评估方法可能会低估这一作用。研究还表明,疼痛耐受性与生活质量(SF-36)直接相关,与睡眠障碍(PSQI)呈负相关。

这些数据表明,ESRD患者的慢性疼痛/疼痛耐受性与睡眠障碍和健康相关生活质量之间存在密切关系。因此,对慢性疼痛患者进行适当的治疗可以显著改善其生活质量和改善其睡眠障碍。

参考文献
  1. Mucsi I, Molnar MZ, Rethelyi J, Vamos E, Csepanyi G, et al.(2004)慢性透析患者的睡眠障碍和疾病侵入性。肾素拨号移植19:1815-1822。[Ref。
  2. Williams SW,Tell GS,Zheng B,Shumaker S,Rocco MV,et al.(2002)血液透析患者睡眠行为的相关性。肾脏预后预测和评估(KOPE)研究。美国肾脏杂志22:18-28[Ref。
  3. 有睡眠障碍的终末期肾病患者死亡率的潜在新预测因子。肾脏疾病35:1052-1060。[Ref。
  4. Harris TJ, Nazir R, Khetpal P, Peterson RA, Chava P, et al.(2012)血液透析患者疼痛、睡眠障碍与生存。肾素拨号移植27:758-765。[Ref。
  5. Weisbord SD, Fried LF, Arnold RM, Fine MJ, Levenson DJ等(2005)慢性血液透析患者身体和情绪症状的患病率、严重程度和重要性。J Am Soc Nephrol 16: 2487-2494。[Ref。
  6. Hedayati SS, Finkelstein FO (2009) CKD患者抑郁的流行病学、诊断和管理。肾脏疾病54:741-752。[Ref。
  7. Davison SN(2003)《血液透析患者的疼痛:患病率、原因、严重程度和管理》。《美国肾脏杂志》第42期:1239-1247页。[Ref。
  8. KDIGO(2013)推荐声明摘要。肾Int 3: 5。
  9. Folstein Mf,Folstein SE,MCHUGH PR(1975)迷你精神状态:用于评级临床医师的认知状态的实用方法。J精​​神病学res 12:189-198。[Ref。
  10. Almeida OP, Almeida SA(1999)老年抑郁症量表的简写:根据ICD-10和DSM-IV诊断重度抑郁发作的有效性研究。老年精神病学14:858-865。[Ref。
  11. 老年抑郁症筛查量表的开发与验证:初步报告。J精神病学研究17:37-49。[Ref。
  12. Sheikh JI, Yesavage JA(1986)老年抑郁症量表(GDS):最近的证据和较短版本的发展。临床老年学:评估和干预指南。纽约霍沃斯出版社,165-173页。
  13. 老年抑郁症量表在住院病人中的验证。临床心理学杂志50:256-260。[Ref。
  14. De Craen Aj,Heeren TJ,Gussekloo J(2003)在最古老的老年人的社区样本中的15项老年抑郁症(GDS-15)的准确性。int j geriadtr精神病学。18:63-66。[Ref。
  15. Giordano M,Tirelli P,Ciarambino T,Gambardella A,Ferrara N,et al.(2007)年轻老年血液透析患者抑郁症状筛查:贝克抑郁量表和15项老年抑郁量表之间的关系。肾单位临床实践106:187-192[Ref。
  16. Conwell Y,Forbes NT,Cox C,Caine ED(1993)尸体解剖时身体疾病负担测量的验证:累积疾病评级量表:J Am老年医学Soc 41:38-41[Ref。
  17. Parmalee PA, Thuras PD, Katz IR, Lawton MP(1995)累积疾病评定量表在老年居住人群中的验证。J Am Geriatr Soc 43: 130-137。[Ref。
  18. Kats S,Ford AB,Moskowitz RW,Jackson BA,Jaffe MW(1963)《日常生活能力指数:生物和心理功能的标准衡量标准》。JAMA 185:914-919[Ref。
  19. Buysse DJ,Reynolds CF 3RD,Monk Th,Berman SR,Kupfer DJ(1989)匹兹堡睡眠质量指数:精神病实践和研究新仪器。精神病学res 28:193-213。[Ref。
  20. (2004)慢性肾脏疾病患者的睡眠质量。肾素拨号移植19,95 -99。[Ref。
  21. Martin ML,Patrick DL,Gandra SR,Bennett AV,Leidy NK,等。(2011)用于2型糖尿病和非透析慢性肾病相关贫血的两个SF-36分量表的含量验证。Qual Life Res 20:889-901[Ref。
  22. Meyer KB, Espindle DM, DeGiacomo JM, Jenuleson CS, Kurtin PS,等(1994)监测透析患者的健康状况。肾脏疾病24:267-279。[Ref。
  23. 地图DL,Lopes Aa,Satayathum S,McCullough Kp,Buykin da,等。(2003)与死亡率和住院的预测的卫生相关生活质量:透析结果和实践模式研究(DOPP)。肾泰64:339-349。[Ref。
  24. 麦吉尔疼痛问卷:主要性质及评分方法。疼痛1:277 - 299。[Ref。
  25. Viggiano A, Zagaria N, Passavanti MB, Pace MC, Paladini A, et al.(2009)筛查高血压相关痛觉减退的新型低成本自动痛觉测定法。实践9:260-265。[Ref。
  26. Kimmel Pl,Emont Sl,Newmann JM,Danko H,Moss啊(2003)ESRD患者生活质量:症状,精神信念,心理社会因素和种族。AM J肾病42:713-721。[Ref。
  27. Cohen SD, Patel SS, Khetpal P, Peterson RA, Kimmel PL(2007)慢性肾脏疾病患者的疼痛、睡眠障碍和生活质量。clinical J Am Soc Nephrol 2: 919-925。[Ref。
  28. 钙、甲状旁腺激素和维生素D:血液透析患者慢性疼痛的主要决定因素。clinical J Am Soc Nephrol 4: 1374-1380。[Ref。
  29. 达维森Sn,jhangri gs(2005)慢性疼痛对抑郁症对血液透析患者透析的影响。J疼痛症状管理30:465-473。[Ref。
  30. (2003)透析患者的支持性护理模式。Palliat Med 17: 81-82。[Ref。
  31. Bailie GR, Mason NA, Bragg-Gresham JL, Gillespie BW, Young EW (2004) DOPPS中血液透析患者镇痛处方模式:处方不足的潜在风险。肾Int 65: 2419-2425。[Ref。
  32. Masajtis-Zagajewska A,Pietrasik P,Krawczyk J,Krakowska M,JarzębskiT,等。(2011)肾移植受者和慢性血液透析患者的相似流行率但不同特征。Clin移植25:144-151。[Ref。
  33. Weisbord SD, Fried LF, Arnold RM, Rotondi AJ, Fine MJ,等(2004)慢性血液透析患者症状评估工具的开发:透析症状指数。J疼痛症状管理27:226-240。[Ref。
  34. Walker S, Fine A, Kryger MH(1995)在透析病房中睡眠投诉很常见。肾脏疾病26:751-756。[Ref。
  35. 老年人SJ,Pisioni Rl,Akizawa T,Fissell R,Andreucci Ve,等。(2008)睡眠质量预测血液透析患者的生活质量和死亡率风险:透析结果和实践模式研究(DOPP)的结果。肾上表盘移植23:998-1004。[Ref。
  36. Unruh ML,Cohen LM(2012)睡眠和疼痛管理是ESRD患者护理的关键组成部分。肾移植27:2618-2620[Ref。
  37. Shayamsunder AK, Patel SS, Jain V, Peterson RA, Kimmel PL(2005)终末期肾病患者的困倦、失眠和疼痛:患者的痛苦症状。SeminDial 18: 109 - 118。[Ref。

在此下载临时PDF

条信息

文章类型:研究文章

引用:Giordano M,Ciarambino T,Pace MC,Passavanti MB,Viggiano A等。(2015)老年糖尿病血液透析患者疼痛耐受性/睡眠障碍与生活质量的关系。int J Nephrol肾功能衰竭1(3):http://dx.doi。ORG / 10.16966 / 2380-5498.114

版权:©2015 Giordano M,et al.这是一篇根据知识共享署名许可证条款发行的开放获取文章,允许在任何媒体中不受限制地使用、发行和复制,前提是原始作者和来源均已获得授权。

出版的历史:

  • 收到的日期:2015年6月11日

  • 接受日期:2015年9月11日

  • 发表日期:2015年9月15日