图1:大疱性类天疱疮的直接免疫荧光检测A)IgG的效价为1:200,B)C3G的效价为1:200

琥珀色KT*Zikry J
加利福尼亚大学欧文分校皮肤科,尔湾,CA,美国*通讯作者:Kyle T. Amber博士,皮肤科,加利福尼亚大学欧文健康,118 MeD SURG 1,尔湾,CA 92697,美国,电话:305-6092110;传真:949824-754;电邮:KAmber@UCI.edu
我们试图验证使用免费软件ImageJ来计算加权发光(WL)作为免疫荧光的结果测量。在直接免疫荧光(DIF)中看到的噪声信号与添加的抗体浓度呈反比关系。因此,这种抗原无关信号的下降占据了每张图像的大部分,这使得信号强度的数学建模成为可能。对10例大疱性类天疱疮(BP)患者和6例寻常性天疱疮(PV)患者进行DIF。DIF是用标记的IgG和C3抗体在稀释范围为1:100 ~ 1:800的稀释度制备的。图像使用ImageJ进行处理,每次稀释生成绿色发光直方图。为了确定平均白光值随抗体稀释度增加的关系,我们生成了抗igg和抗c3抗体的对数回归直方图。为了解释抗原依赖信号(即DIF图中的免疫反应部分)的作用,我们使用了一条额外的回归曲线,限定稀释范围为1:100至1:400,以降低Fc受体或C3变得不饱和的风险。BP IgG与C3稀释量的对数回归显示出显著的中到强相关性(R2=0.51,P<0.001)和(R2=0.50,P<0.001),关系强度略有下降,但在校正抗原依赖信号后仍具有统计学意义。PV中的关系较弱,但无论校正情况如何,这也具有统计学意义。WL是在实验环境中定量比较荧光信号的一种有价值的测量方法。使用ImageJ的比较免疫荧光的进一步用途,例如比较抗体结合或抗原表达,需要验证我们在此证明的WL。
定量免疫荧光;比较免疫荧光;免疫学方法
使用开源图像软件的定量免疫组织化学(IHC)允许对蛋白质表达进行数字比较[1-6]。这有助于蛋白质表达的实验比较以及某些肿瘤受体状态的临床分类。虽然发光作为免疫组织化学的结果指标已经得到验证[6],但其在免疫荧光中的应用尚未得到令人信服的证明。
与定量IHC相比,在免疫荧光中使用图像软件分析具有几个理论优势。假设使用绿色发色团,则不需要额外的颜色过滤来分离所需的发色团。加权发光的使用考虑了蛋白质密度。由于颜色阈值的选择显示出显著的用户间可变性,因此这是可取的[7]。此外,免疫荧光中不需要考虑可能混淆IHC[8]中生色团分离的目标抗原的细胞位置。
由于只需评估单一原色,因此可以生成聚焦直方图进行分析。为了考虑到更强烈的颜色表示异硫氰酸荧光素(FITC)标记抗体的浓度增加,可以使用加权发光作为结果度量。黑色像素(没有发色团的像素)被称为零,而那些完全饱和的生色团被称为最高。
比较免疫荧光有多种应用,包括比较不同抗体与固定组织的结合,或使用固定抗体或探针(如荧光探针)比较不同组织源的抗原表达原位杂交(9 - 12)。为了在这些应用中使用ImageJ,我们试图评估加权发光(WL)作为量化免疫荧光信号的结果度量的有效性。DIF中使用对数递增的fitc标记抗体浓度,使我们有机会对总体信号强度的对数下降进行数学建模,由于占信号大部分的信号噪声率与标记抗体的浓度成反比,而不依赖于靶抗原的浓度。DIF的抗原依赖部分(即免疫反应部分)只占总信号的一小部分,FITCtagged抗体浓度较低时除外。虽然在DIF中测量荧光信号本身并不具有临床意义,但它允许以一种可控的方式验证发光计算,因为每个样本中的组织和一抗保持不变,而只有二抗被稀释。因此,我们分析了大疱性类天疱疮和寻常性天疱疮患者DIF的总加权发光。虽然由于组织抗原的饱和,DIF信号的量化本身并不是一种临床上有用的测量方法,但定量免疫荧光的使用已经在几个应用中得到了评价,以量化和比较不同组织[13]之间的抗原表达量。因此,本实验为白光作为定量免疫荧光的测量手段提供了验证,可用于不同的实验应用。
DIF是在先前诊断为大疱性类天疱疮(n=10)和寻常性天疱疮(n=6)的患者的病灶周围皮肤活检的组织病理切片上进行的。DIF方法之前已经详细描述过[14]简言之,将每个样本的组织切片与针对IgG(德国汉堡BioRad)和C3(德国基尔Biologo)的FITC标记抗体稀释液一起孵育。立即使用BIOREVO(德国纽伊森堡Keyence)对每张载玻片进行成像系统设置始终保持不变。在40倍放大的条件下拍摄三张显微照片,每次稀释的全像素计数为1360×1024。
随后使用ImageJ(版本1.48,美国马里兰州贝塞斯达国立卫生研究院)对图像进行处理。将每幅图像插入ImageJ软件,并生成一个专门限定为绿色的直方图——绿色光谱。每个图像的数据被导出到SPSS 20软件中。从每个直方图中提取的数据点表示绿色发光光谱上从0(黑色)到255(饱和绿色)的像素数。我们进行了数据转换以计算加权发光。这是由0到255之间的每种颜色的总和计算得出的n/255乘以每种颜色的像素数。因此,黑色像素将被过滤掉,最亮的发光级别将被加权到最高。
为了确定平均加权发光与每个样本稀释度增加的关系,我们为大疱性类天疱疮和寻常型天疱疮患者生成了加权发光与抗IgG和抗C3稀释度的对数回归曲线直方图。由于信号噪声不依赖于抗原的存在,而是DIF的免疫反应部分依赖于抗原,因此进行了两次单独的对数回归分析。进行对数回归曲线,将加权发光与1:100至1:800范围内的抗IgG和抗C3稀释液进行比较,不考虑Fc受体或C3饱和度的损失。对1:100至1:400范围内的抗IgG和抗C3稀释液进行额外的对数回归,从而增加C3的Fc受体保持饱和的可能性。对同一患者在不同FITC滴度下拍摄的多张图像进行方差分析,以确认WL的同质性。P>0.05的值被认为是同质性的确认。
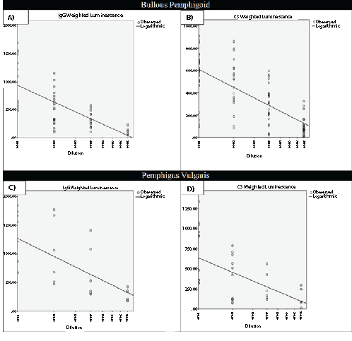
图1和图2分别显示了BP和PV中抗IgG和C3的代表性图像。对数回归评估抗IgG和抗C3稀释液的加权发光之间的关系,显示出显著的中到强相关性(R2=0.51,P<0.001)和(R2=0.50,P<0.001)。抗原依赖性免疫荧光校正(仅在1:400而非1:800稀释时测量)导致加权荧光与抗IgG和抗C3之间的对数关系强度降低,但这种关系仍具有统计学意义。与thos相比,寻常型天疱疮的回归曲线显示加权免疫荧光与抗IgG和抗C3稀释之间的关系不太强e在大疱性类天疱疮中,但这些仍然具有统计学意义。与大疱性类天疱疮一样,当考虑抗原依赖性免疫荧光时,加权发光与抗IgG和抗C3之间的关系强度降低。这些结果见表1。抗原ind的对数回归曲线图3提供了依附性计算(稀释度范围为1:100至1:800)。比较同一患者多个样本的所有方差分析均无显著性(P>0.05),表明同质性。
原始分析稀释度为1:100–1:800 |
对抗原依赖信号的校正 |
||||||
大疱性类天疱疮 |
稀释 |
WL |
R2 |
P |
大疱性类天疱疮 |
R2 |
P |
IgG |
1:100 |
1029 |
0.51 |
<0.001 |
IgG |
0.41 |
<0.001 |
1:200 |
522 |
||||||
1:400 |
337 |
||||||
1:800 |
117 |
||||||
C3 |
1:100 |
572 |
0.50 |
<0.001 |
C3 |
0.24 |
<0.001 |
1:200 |
496 |
||||||
1:400 |
299 |
||||||
1:800 |
100 |
||||||
寻常性天疱疮 |
R2 |
P |
寻常性天疱疮 |
R2 |
P |
||
IgG |
1:100 |
1235 |
0.43 |
<0.001 |
IgG |
0.20 |
0.043 |
1:200 |
1030 |
||||||
1:400 |
667 |
||||||
1:800 |
284 |
||||||
C3 |
1:100 |
699 |
0.32 |
<0.001 |
C3 |
0.25 |
0.005 |
1:200 |
358 |
||||||
1:400 |
274 |
||||||
1:800 |
161 |
||||||
表1:在大疱性类天疱疮和寻常型天疱疮患者的直接免疫荧光研究中,加权发光与添加的抗IgG和抗C3抗体稀释之间关系的对数回归系数和P值。提供了考虑抗原依赖性信号的校正分析。(WL)加权发光
图1:大疱性类天疱疮的直接免疫荧光检测A)IgG的效价为1:200,B)C3G的效价为1:200
图2:寻常天疱疮的直接免疫荧光是针对滴度为1:20 00的IgG和滴度为1:20 00的c3
图3:对于大疱性类天疱疮(a,b)和寻常性天疱疮(c,d)患者的直接免疫荧光样本,显示加权发光*和对数回归线,水平轴对数变换。
*加权发光定义为∑[像素计数x(n/255)],其中n是0到255范围内的绿色值.
使用ImageJ软件计算的加权发光可以作为量化受控照片免疫荧光信号的有用手段,而无需昂贵的图像分析软件或用户设置的阈值,这可能会影响观察者之间的可靠性。其准确性要求使用标准化的摄像机设置和抗体制备。因此,如果设置和抗体制备始终相同,则可以进行比较。与间接免疫荧光相比,使用DIF创建对数回归模型具有一些优点和缺点。由于信号噪声,大多数信号与抗原无关,因此稀释度的对数增加可预测地导致信号噪声的对数下降。这是以包含抗原依赖的图像免疫反应区域为代价的。与大疱性类天疱疮相比,天疱疮患者的加权发光和抗体稀释之间的关系强度降低,这一点得到了最好的证明。由于IgG在寻常型天疱疮细胞间沉积,因此与局限于基底膜区的BP相比,存在相对更多的抗原依赖性信号。因此,随着稀释度的增加,加权发光的对数下降的假设将取决于目标抗原(Fc受体或C3)的饱和度,其不一定会以可预测的方式下降,与抗原无关的信号噪声也是如此。间接免疫荧光的使用将限制这种分析,因为在特定血清稀释度下,Fc受体饱和丧失后,信号的对数下降才会开始。因此,虽然DIF不允许对不同稀释度的抗IgG和抗C3抗体的抗原依赖性信号变化进行纯分析,但它提供了一个估计值。虽然可以对DIF的非免疫反应区域进行进一步的验证性分析,但这是为了防止设置或选定区域的任何变化,而这些变化通常会困扰数字成像软件的使用[7]。因此,所进行的研究提供了加权发光和信号强度对数下降之间关系的保守估计。
不幸的是,DIF不能用来预测抗体滴度,因为它与患者皮肤中抗原的数量以及抗桥粒IgG的数量有关。然而,通过证明ImageJ可以在受控环境下可靠地测量荧光信号(本研究中同一样本的连续稀释),这项技术可以应用于荧光信号具有临床效用的其他应用
在免疫荧光分析中使用成像软件提供了几个很有前景的功能。立即拍摄免疫荧光图像可以进行长期编目,从而减少因条件和光线变化而失去反应性的风险,这可能会影响微弱信号下的发光[15]。同样,如果控制所有其他设置和实验室条件,则可以使用加权发光作为统计比较值来执行定量和比较免疫荧光,从而为不同的实验设置提供执行定量免疫荧光的免费方法。
作者要感谢Susanne Lemcke博士和Enno Schmidt博士对直接免疫荧光照片的贡献。
作者没有潜在的利益冲突需要披露。这项研究没有得到资助。
在此下载临时PDF
算术类型:研究文章
引用:Amber KT,Zikry J(2016)验证ImageJ在免疫荧光定量分析中的应用。临床医学杂志皮肤科1(1):doihttp://dx.doi.org/10.16966/2576-2826.103
版权:©2016 Amber KT等。这是一篇根据知识共享署名许可证条款发行的开放获取文章,允许在任何媒体中不受限制地使用、发行和复制,前提是原始作者和来源均已获得授权。
出版历史:
所有Sc德赢娱乐国际i Forschen期刊均为开放存取