分析Techniques-Sci Forschen德赢娱乐国际

全文

研究文章
一种制作固态参考电极的实用方法

梁王1、2 *盛放1,2应成1,2戴恩羊肉1,2Zuliang陈1,2Mallavarapu Megharaj1,2Ravendra莫名其妙Naidu1,2

1澳大利亚卡拉汉纽卡斯尔大学科学和信息技术学院环境修复全球中心
2澳大利亚SA 5095 Mawson Lakes Mawson Lakes大道污染评估和环境修复CRC

*通讯作者:Wang Liang,纽卡斯尔大学科学与信息技术学院全球环境修复中心,澳大利亚,卡拉汉,E-mail: Liang.Wang@newcastle.edu.au


摘要

聚丙烯酸钠(NaPA)不仅以其高吸水性能而著称,而且具有良好的电化学性能。众所周知,NaPA通常用作聚合物粘合剂或拔罐剂,是一种带负电荷的阴离子聚电解质。在本研究中,NaPA研究开发Ag/AgPA内氧化还原系统(IRS)用于实际参考电极(REs)。此外,还应用了NaPA的“水锁”特性来锁住和糊化内溶液,以防止RE内溶液与测试样品之间的液体结(LJ)。这种类型的稀土具有成本低、施工方便、适于广泛使用的优点。研究并验证了其稳定性、重现性和离子强度的影响。

关键词

Ag / Ag)+氧化还原系统;参比电极;聚丙烯酸钠;液体junction-free;固态电极

介绍

在电位测量中,参考电极(REs)用来提供一个稳定的电位作为参考,以测量工作电极(如离子选择电极)的电位变化[1-6]。含Ag/Ag的REs+,即Ag/AgCl作为IRS具有稳定性好、结构简单的优点[1,2]。然而,常规Ag/AgCl REs通常是多孔的lj基,测试溶液会受到Ag的影响+,会带来样品污染、电解质损失、样品[2]离子强度变化等问题。此外,这种REs的使用和维护都很麻烦,而且难以小型化。最近,LJ-free Ag / Ag)+以RTILs(室温离子液体)为样品边界的基于PVC膜的REs已被广泛研究[7-12]。Huber和Roling[12]简要总结了一些研究和应用。这些类型的膜连接REs具有微型化的优势,然而,合成大多数RTIL的化学物质成本高且复杂。

另外,采用NaPA可以简单地解决LJ问题,与PVC膜和HRTIL相比,NaPA成本更低,制作更容易。NaPA是一种主链上带有带负电荷的羧基的阴离子聚电解质。此外,作为高吸水性水凝胶,NaPA可容纳99.2%的去离子水和91%的电解质溶液[13]。近年来,NaPA被广泛应用于封盖试剂[14-18]和聚合物粘结剂[19,20]。例如,Inaba和同事[18]应用NaPA作为包封试剂制备立方Pt纳米颗粒。Komaba et al.[20]将NaPA作为si -石墨复合电极的聚合物粘结剂应用于可充电锂电池。此外,“水锁”特性可以用于保持和糊化内部溶液的res。为了小型化和凝固的目的。在本研究中,使用NaPA来保持饱和氯化钾(KCl)溶液,生成凝胶化的Ag/AgCl RE IRS。此外,由于NaPA具有高电导率,因此使用环氧树脂混合物在RE IRS和测试样品之间创建LJ自由边界。另外,本研究中使用去离子水代替饱和KCl溶液,利用NaPA和银丝创建了一种新的基于Ag/AgPA的RE IRS。研究了这些稀土的特性,并与商品化的Ag/AgCl稀土进行了比较。

实验
电极制备及电沉积

两种Ag/Ag的结构+REs: 1) RE-A, IRS是基于Ag/AgCl。事先,使用CHI660B电化学工作站(CH Instruments Inc., USA)和常规三电极电池在银丝(5厘米长,0.5毫米,99.99%,Aldrich)上电沉积AgCl,并从一端覆盖2厘米长的银线。这个三电极电池包含一个商业Ag/AgCl (Aldrich)参考电极,一个铂丝(0.2 mm, Sigma)对电极,并且Ag丝连接作为工作电极。在分解过程中,银丝在2.0 V下用恒电位60秒处理成3 mol L-1氯化钾(KCl, Fluka)标准溶液。对于RE的内部填充:3 mol L-1用聚丙烯酸钠盐(Aldrich)以10:1 wt的比例将KCl锁定并凝胶化,从AgCl涂层一侧浸入3cm长的银丝,并填充在10-100µL吸管尖端(sigma)的腔室中。采用2mm风干环氧树脂(阿拉迪特)密封腔室信号传输侧,外露2cm长的银线,以便与电位数据测井系统连接。在测试溶液和RE的内部氧化还原系统之间的“液体结”自由边界,是由2mm的空气干燥的环氧树脂和糊化的NaPA的混合物,以1:1的重量比。首先用去离子水(Milli Q plus System, 18.2 MΩ cm .)对该混合物中的NaPA进行凝胶化处理-1电阻率)在1:50瓦特比。2) RE-B,不是使用KCl溶液生成Ag/AgCl IRS,而是直接应用去离子水以20:1 wt的比例糊化聚丙烯酸钠,以创建Ag/AgPA氧化还原系统。采用与REA相同的程序将AgPA预电沉积到银丝上,除了在2.0 V电势下持续处理银丝300秒。RE-B与RE-A具有相同的封闭和边界结构。这两个参考电极的结构如图1所示。

图1:两个参考电极的结构。

仪器和测量协议

电位系统包括一个pH值放大器(AD Instruments Co.)作为信号放大器,而功率实验室(AD Instruments Co.)作为计算机与放大器的接口。图5为Windows软件(ADInstruments Co.),用于数据采集和滤波阶段。在Matlab R2012b中使用统计分析工具进行数据处理和分析。使用Microsoft Excel 2010进行数据记录和回归线查询。采用10hz低通数字滤波器消除了电极产生的信号粒度引起的噪声。一个带旋转棒的磁性搅拌器(IEC, C876083V)和几个烧杯(Schott Duran 250 mL)用于样品和标准制备。本研究采用固体离子选择电极(ISEs),包括Na、K、Ca和Mg。定制的双结Ag/AgCl电极(型号900200,猎户座)也作为标准RE用于测试。

所有溶液均由1 M标准溶液连续10倍稀释制成。测试溶液的pH值在5.5 - 6.5范围内(由Orion pH电极测量)。除非另有说明,所有试剂均为分析级(Fluka),无需进一步纯化即可直接使用。去离子水用于所有的实验,包括所有水溶液的制备。使用标准添加法直接测定含有各种不同组合的每种离子的标准品和样品。所有测量均在相同的温度(22°C)下进行,重复三次,并报告平均值进行处理。最终电极电位仅在稳定时记录,即在±0.05 mV的恒定电位下,超过30秒。每次测量后,用去离子水仔细冲洗所有容器和电极,并用纸巾吸干,以防止电极交叉污染。

结果与讨论

为了测试REs(RE-A和REB)的时间再现性,将两种REs分别连续浸入3 M KCl和定制RE的电位差中24小时(n=3)。两个REs的电位漂移如图2所示。很明显,两个REs的电位值在24小时内一直向下漂移。图1。然而,这两种REs在随后的时间内都实现了稳定性。与两种REs相比,RE-A的电位值在前5小时显著下降,从-5 mV降至-10 mV以下。之后,读数变得稳定,相差约2 mV。而RE-B的电位值在第15小时前仍在逐渐下降,从高于-15 mV下降到接近-25 mV。认识到这一现象,使用电化学工作站将AgCl(RE-A)和AgPA(RE-B)预电沉积到银丝上。然而,将AgPA(RE-B)电沉积到银丝上需要更长的时间,因为NaPA可以用更多的水糊化和液化。因此,RE-B的IRS中含盐量较少,可能会影响RE-B的性能。

图2:时间重现性,前24小时连续三次测量3M KCl溶液(〇:RE-A,□:RE-B)

遵循Mamińska等人[2]提出的稳定性试验方法,采用不同浓度的KCl、KNO对REs进行三次稳定性测定3.,范围从1 μ M到10 mM2所以4被用来提供强离子强度的载体。研究了RE-A和RE-B在不同浓度KCl和KNO溶液中的稳定性3.如图3所示。

图3:研究了RE-A和RE-B这两种REs在不同浓度的KCl和KNO3 (mol/L)溶液中的稳定性,背景溶液:0.1M Na2SO4。

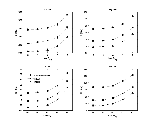
如上所述,每个样品用0.1 M钠测量三次2所以4背景缓冲溶液。标准偏差(STD)也显示在图3中。RE- a和RE- b被应用于不同的电极作为参比电极,以测量其标准溶液的不同浓度。使用商用RE对测量结果进行比较。如图4所示,在期望不同的启动电位值的情况下,无论使用哪种RE,每个ISE的检测限和线性检测范围都保持不变。根据图4所示的性病,RE- a和RE- b的表现与商业RE相似。

图4:ISEs与不同的REs合作测量他们的标准解决方案

结论

两个REs(RE-A和RE-B)在NaPA的基础上开发。RE-A使用NaPA锁定内部溶液KCl并生成Ag/AgCl IRS。RE-B使用NaPA直接生成Ag/AgPA IRS。这两种REs都使用NaPA和环氧树脂在IRS和测试溶液之间创建边界。此外,AgCl和AgPA都使用电子显微镜预电沉积在银丝上trochemical工作站。但是,如前所述,将AgPA电沉积到银导线上需要更长的时间。这是因为NaPA只能用大量的水进行糊化和液化;因此,它会稀释盐和更长的电沉积时间,并且可能会影响Ag/AgPA IRS的性能。因此,产生在未来的研究中应考虑以更有效的方式进行g/AgPA IRS。扫描电子显微镜(SEMs)广泛应用于研究电化学的表面形态和结构,如电沉积,其中REs的表面形态和结构是可能影响电极性能(如附着力、偏移电位和稳定性)的关键方面。在本手稿中,我们只关注新的实用方法制作固态参比电极和应用新型稀土。稀土的特性分析将在未来进行,以详细说明制造工艺,并揭示表面特性对不同稀土稳定性的影响。

致谢

作者要感谢环境污染评估和修复合作研究中心(CERAR)和南澳大利亚大学(UniSA)使这项研究成为可能。这项研究是由CRC CARE私人有限公司资助的。这项研究是在UniSA的CERAR实验室进行的。

参考文献
  1. (2006)离子选择电极的原理与膜传输,中国科学(d辑:地球科学)。[Ref。
  2. Mamińska R, Dybko A,Wróblewski W(2006)基于离子液体的全固态微型化平面参考电极。Sens Actuators B Chem 115: 552-557。[Ref。
  3. Wang L, Yang D, Fang C, Chen Z, Lesniewski PJ, et al.(2015)基于普鲁士蓝修饰的玻碳电极阵列同时测定四种可交换阳离子。Talanta 131: 395 - 403。
  4. 王磊,杨德芳C,兰姆D,莱斯尼夫斯基PJ,等。(2015)神经网络与新的重新校准方法在普鲁士蓝修饰碳糊电极阵列上的应用,用于同时测定硝酸盐和氯化物。化学计量计国际实验室系统144:24-30。
  5. Wang L, Yang D, Chen Z, Lesniewski PJ, Naidu R, et al.(2014)基于独立成分分析方法的神经网络在ISE阵列同时测定镉、铜和铅中的应用。J Chemom 28: 491-498。[Ref。
  6. Bakker E(1999)疏水膜作为液体无结参考电极。电分析11:年级。[Ref。
  7. Cicmil D, Anastasova S, Kavanagh A, Diamond D, Mattinen U, et al.(2011)离子液体基无液结参比电极。电解23:1881 - 1890。[Ref。
  8. Kakiuchi T,Yoshimatsu T,Nishi N(2007)基于饱和AgCl的疏水离子液体的新型Ag/AgCl电极。分析化学79:7187-7191。[Ref。
  9. Snook GA, Best AS, Pandolfo AG, Hollenkamp AF (2006) AG / AG的评价+室温离子液体用参比电极.电化学通讯8:1405-1411[Ref。
  10. Saheb A, Janata J. Josowicz M(2006)离子液体参考电极。电分析18:405 - 409。[Ref。
  11. Huber B, rolingb (2011) Ag/Ag的发展+离子液体中电化学测量用微量参比电极.电致化学学报56:6569–6572[Ref。
  12. 引用本文:王志强,王志强,王志强,等。(2007)银/银的电化学动力学+TMPD/TMPD+在室温离子液体[C4mpyrr][NTf2]中的应用RTILs伏安法参考电极的优化。J Phys Chem C 11: 13957-13966。[Ref。
  13. 孙敏,崔新涛(2010)一种新型水凝胶基无制备电极。跨神经系统康复工程师18:415-423。[Ref。
  14. 小川I,山野H,宫川K(1993)聚丙烯酸钠的膨胀速率。中国科学(d辑:地球科学)[Ref。
  15. 高桥等(1990)壳聚糖与海藻酸钠、聚丙烯酸钠的聚离子配合物的性质。中华结核和呼吸杂志,21(1):35-41。[Ref。
  16. 关键词:磁性Fe3O4,自组装,聚丙烯酸钠,纳米微球板牙Res Bull 48: 895-900。[Ref。
  17. Jada A, Akbour RA, Jacquemet C, Suau JM, Guerret O(2007)聚丙烯酸钠分子量对碳酸钙晶体发生的影响。晶体生长306:373-382。[Ref。
  18. 张志强,王志强,王志强,等。聚丙烯酸钠对磷酸八钙的合成及水解性能的影响。中国生物化学杂志75:145-151。[Ref。
  19. Inaba M, Ando M, Hatanaka A, Nomoto A, Matasuzawa K, et al.(2006)控制铂纳米粒子的生长和形状形成及其电化学性能。电化学学报52:1632-1638。[Ref。
  20. (2012)聚丙烯酸钠和聚偏氟乙烯作为锂离子电池高容量硅-石墨复合负极粘结剂的比较研究。J Phys Chem 116: 1380-1389。[Ref。
  21. Yabuuchi N,Shimomura K,Shimbe Y,Ozeki T,Son J,等。(2011)用于更安全可充电锂离子电池的离子液体电解质中的石墨-聚丙烯酸硅负极。Adv能源材料1:759-765[Ref。

在此下载临时PDF

PDF

条信息

文章类型:研究文章

引用:Wang L, Fang C, Cheng Y, Lamb D, Chen Z, et al.(2016)一种固态参考电极的制备方法。J Biochem Analyt Stud 1(1): doi http://dx.doi.org/10.16966/2576-5833.101

版权:©2016王磊等。这是一篇开放获取的文章,在知识共享署名许可协议的条款下发布,该协议允许在任何媒体上无限制地使用、发布和复制,前提是注明原作者和来源。

出版的历史:

  • 收到日期:2015年12月14日

  • 接受日期:2016年1月22日

  • 发表日期:2016年1月28日